Log Contoh Soal Logaritma / Sifat Sifat Dasar Dan Operasi Pada Logaritma Dan Contohnya Myrightspot Com - Bc = a ditulis sebagai blog a = c.

Info Populer 2022

Log Contoh Soal Logaritma / Sifat Sifat Dasar Dan Operasi Pada Logaritma Dan Contohnya Myrightspot Com - Bc = a ditulis sebagai blog a = c.

Log Contoh Soal Logaritma / Sifat Sifat Dasar Dan Operasi Pada Logaritma Dan Contohnya Myrightspot Com - Bc = a ditulis sebagai blog a = c.
Log Contoh Soal Logaritma / Sifat Sifat Dasar Dan Operasi Pada Logaritma Dan Contohnya Myrightspot Com - Bc = a ditulis sebagai blog a = c.

Log Contoh Soal Logaritma / Sifat Sifat Dasar Dan Operasi Pada Logaritma Dan Contohnya Myrightspot Com - Bc = a ditulis sebagai blog a = c.. H(x)log f(x) = h(x)log g(x) ⇔ f(x) = g(x). Lalu apa itu logaritma ?. Materi & contoh soal logaritma part 1. Yang mana pada pertemuan sebelumnya juga kita telah membahas materi tentang limas segitiga baiklah untuk lebih lengkapnya sobat bisa simak ulasannya dibawah ini. Jika 2log 3 = a dan 3log 5 = b, maka 15log 20 =… soal tipe ini paling sering keluar dalam ujian, dan kemungkinan keluar di soal ujian nasional 2013sangat besar.

Soal no.19 (un 2014) penyelesaian pertidaksamaan 3log x. Materi & contoh soal logaritma part 1. Log p = a log q = b tentukan nilai dari log p3 q2. Logaritma kini digunakan untuk memecahkan masalah. Dan klai ini agar kita semua lebih memhami tentang logaritma kita akan membahas beberapa contoh soal beserta jawabannya.

Persamaan Logaritma Pengertian Sifat Rumus Dan Contoh Soal
Persamaan Logaritma Pengertian Sifat Rumus Dan Contoh Soal from kabarkan.com
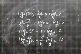
H(x)log f(x) = h(x)log g(x) ⇔ f(x) = g(x). Logaritma merupakan kebalikan dari perpangkatan atau eksponensial. Bab 21 fungsi eksponen dan logaritma. Contoh soal 3 perhatikan gambar dibawah. Logaritma kini digunakan untuk memecahkan masalah. Contoh dari logaritma bentuk eksponen antara lian: Cari bilangan pokok logaritma maupun bilangan hasil pangkat yang paling banyak keluar, dalam. Logaritma adalah kebalikan dari perpangkatan.

Sebab numerusnya 8 dan juga 7, maka kita uraikan 14 menjadi 7 × 2 serta 16 menjadi 8 × 2 supaya kita.

Pelajari pengertian sifat rumus persamaan pertidaksamaan tabel contoh.=3log 34 + 3log 32. Teori tentang logaritma pertama kali diperkenalkan oleh ilmuwan yang bernama john napier yang lahir pada tahun 1550 di dekat edinburgh, skotlandia. Dan klai ini agar kita semua lebih memhami tentang logaritma kita akan membahas beberapa contoh soal beserta jawabannya. Begini, squad, di soal diketahui 2log 8 dan 2log 7. Log x + log (2x + 1) = 1 merupakan persamaan logaritma yang numerusnya memuat variabel x. Jika 2log 3 = a dan 3log 5 = b, maka 15log 20 =… soal tipe ini paling sering keluar dalam ujian, dan kemungkinan keluar di soal ujian nasional 2013sangat besar. Logaritma kini digunakan untuk memecahkan masalah. Sebelumnya kita sudah membahas tentang materi tentang logaritma. Gambar grafik yang disajikan di dalam postingan ini merupakan produk dari penggunaan aplikasi geogebra. Salah satu contohnya saat ini adalah dalam penggunaan teknologi. Materi logaritma sma kelas 10 lengkap dengan contoh soal dan pembahasan. Ada contoh soal latihan logaritma yang bisa kamu kerjakan di sini. Soal no.19 (un 2014) penyelesaian pertidaksamaan 3log x.

Materi & contoh soal logaritma part 1. Mohon maaf izin bertanya, pada contoh soal bagian b yaitu 9 log 36. Sebab numerusnya 8 dan juga 7, maka kita uraikan 14 menjadi 7 × 2 serta 16 menjadi 8 × 2 supaya kita. Penyelesaian itulah ulasan tentang logaritma : Persamaan logaritma dalam bentuk persamaan kuadarat.

12 Contoh Soal Persamaan Logaritma Materi Rumus Download
12 Contoh Soal Persamaan Logaritma Materi Rumus Download from www.inspired2write.com
Maka bentuk itu diubah kedalam persamaan kuadrat asalkan f(x) > 0. Misalnya seperti, penjumlahan dengan pengurangan, perkalian dan pembagian, serta logaritma dengan eksponen dan masih banyak lagi yang lainnya. Yang mana pada pertemuan sebelumnya juga kita telah membahas materi tentang limas segitiga baiklah untuk lebih lengkapnya sobat bisa simak ulasannya dibawah ini. Postingan ini membahas contoh soal logaritma dan pembahasannya atau penyelesaiannya + jawaban. Logaritma adalah operasi matematika yang merupakan kebalikan/invers dari eksponen atau pemangkatan. Nilai pada logaritma (3log 9)+(2log 8). Tentukanlah nilai dari logaritma berikut ini: Kumpulan contoh soal logaritma beserta jawaban pembahasannya untuk anda yang ingin belajar dan makin kali ini kami akan menghadirkan kumpulan contoh soal logaritma matematika kelas 10 contoh soal 3.

Sebelumnya kita sudah membahas tentang materi tentang logaritma.

Contoh soal 3 perhatikan gambar dibawah. Contoh soal eksponen kelas 10 dan logaritma berikut pembahasan dan jawaban. Berikut disajikan sejumlah soal dan pembahasan terkait fungsi logaritma yang dipelajari saat kelas x pada mata pelajaran matematika peminatan. Terkadang log x (huruf besar l) menunjuk kepada 10log x dan log x (huruf kecil l) menunjuk kepada elog x. Aalog f(x)2 + balog f(x) + c = 0. Semoga apa yang diulas diatas bermanfaat bagi pembaca setia gurupendidikan. Lalu apa itu logaritma ?. Log x + log (2x + 1) = 1 merupakan persamaan logaritma yang numerusnya memuat variabel x. Setelah melalui penyederhanaan menggunakan sifat logaritma, hasil dari soal logaritma di atas adalah 6. Log p = a log q = b tentukan nilai dari log p3 q2. Begini, squad, di soal diketahui 2log 8 dan 2log 7. Contoh dari logaritma bentuk eksponen antara lian: Yakin sudah menguasai logaritma dengan segala sifat persamaan dan tidak persamaannya?

Teori tentang logaritma pertama kali diperkenalkan oleh ilmuwan yang bernama john napier yang lahir pada tahun 1550 di dekat edinburgh, skotlandia. Tentukanlah nilai dari logaritma berikut ini: Nilai pada logaritma (2log 8) + (3log 9) + (5log 125). Pelajari pengertian sifat rumus persamaan pertidaksamaan tabel contoh.=3log 34 + 3log 32. Aalog f(x)2 + balog f(x) + c = 0.

Logaritma Pengertian Sifat Rumus Tabel Contoh Soal
Logaritma Pengertian Sifat Rumus Tabel Contoh Soal from rumuspintar.com
Semoga apa yang diulas diatas bermanfaat bagi pembaca setia gurupendidikan. Sebab numerusnya 8 dan juga 7, maka kita uraikan 14 menjadi 7 × 2 serta 16 menjadi 8 × 2 supaya kita. Aalog f(x)2 + balog f(x) + c = 0. Pembahasan dari sifat logaritma berikut: Rumus, sifat, fungsi, persamaan dan contoh soal. Cari bilangan pokok logaritma maupun bilangan hasil pangkat yang paling banyak keluar, dalam. Jika 2log 3 = a dan 3log 5 = b, maka 15log 20 =… soal tipe ini paling sering keluar dalam ujian, dan kemungkinan keluar di soal ujian nasional 2013sangat besar. Pelajari pengertian sifat rumus persamaan pertidaksamaan tabel contoh.=3log 34 + 3log 32.

Misalnya seperti, penjumlahan dengan pengurangan, perkalian dan pembagian, serta logaritma dengan eksponen dan masih banyak lagi yang lainnya.

Rumus, sifat, fungsi, persamaan dan contoh soal. Contoh soal yang telah kami rangkum ini sering keluar dalam ulangan ataupun ujian nasional, jadi insyaallah sangat bermanfaat untuk siswa pelajari. Jika 2log 3 = a dan 3log 5 = b, maka 15log 20 =… soal tipe ini paling sering keluar dalam ujian, dan kemungkinan keluar di soal ujian nasional 2013sangat besar. Teori tentang logaritma pertama kali diperkenalkan oleh ilmuwan yang bernama john napier yang lahir pada tahun 1550 di dekat edinburgh, skotlandia. Berikut disajikan sejumlah soal dan pembahasan terkait fungsi logaritma yang dipelajari saat kelas x pada mata pelajaran matematika peminatan. Log x + log (2x + 1) = 1 merupakan persamaan logaritma yang numerusnya memuat variabel x. Logaritma adalah kebalikan dari perpangkatan. Tentukanlah nilai dari logaritma berikut ini: Log p = a log q = b tentukan nilai dari log p3 q2. Kumpulan contoh soal logaritma beserta jawaban pembahasannya untuk anda yang ingin belajar dan makin kali ini kami akan menghadirkan kumpulan contoh soal logaritma matematika kelas 10 contoh soal 3. Jika 2log 3 = a, nyatakan logaritma 8log 27 ke dalam bentuk a. Begini guys, pada soal diketahui 2log 8 dan juga 2log 7. Materi & contoh soal logaritma part 1.

Advertisement

Iklan Sidebar